Download: Tài liệu kỹ thuật
Chi tiết sản phẩm
Công tơ điện tử 1 pha DT01M80 là sản phẩm của Trung tâm sản xuất thiết bị đo điện tử Điện lực miền Trung (CPC EMEC), được sản xuất trên dây chuyền công nghệ hiện đại, được kiểm soát chất lượng bởi một quy trình chặt chẽ, có đặc tính và độ tin cậy cao, dùng để đo đếm điện năng trực tiếp theo 2 chiều giao và nhận ở lưới điện xoay chiều 1 pha 2 dây, đạt cấp chính xác 1,0 đối với điện năng tác dụng theo tiêu chuẩn Việt Nam 7589-21:2007 và tiêu chuẩn quốc tế IEC 62053-22:2003; cấp chính xác 2,0 đối với điện năng phản kháng theo tiêu chuẩn quốc tế IEC 62053-23:2003.
Sản phẩm DT01M80 được Tổng cục Tiêu chuẩn Đo lường Chất lượng phê duyệt mẫu theo Quyết định số 1950/QĐ-TĐC ngày 18/12/2015 với ký hiệu phê duyệt mẫu PDM 2120-2015.
Công tơ điện tử 1 pha DT01M80 có những đặc trưng sau:
– Kiểm định viên không phải hiệu chỉnh.
– Là thiết bị dùng linh kiện điện tử, nên không gây ma sát và các sai sót do các phần tử cơ khí gây ra.
– Độ nhạy cao.
– Công suất tiêu thụ thấp.
– Độ ổn định nhiệt cao.
– Chịu dòng quá tải lớn, chịu điện áp cao.
– Khả năng cách điện lớn.
– Đo đếm điện năng tác dụng theo 2 chiều giao/nhận và điện năng phản kháng theo 4 góc phần tư; tích lũy vào thanh ghi riêng biệt.
– Tích hợp các tính năng cảnh báo như rò rỉ đất, đảo ngược cực tính,…;ngăn ngừa các trường hợp gian lận điện năng như can thiệp từ trường bên ngoài, mở nắp đầu dây và vỏ công tơ, đấu nối sai sơ đồ.
– Khả năng chịu ảnh hưởng của điện từ trường, của nhiễu bên ngoài cao.
– Tuổi thọ cao.
– Đọc chỉ số công tơ từ xa bằng sóng vô tuyến và lưu trữ vào bộ nhớ với thời gian 40 năm (tùy chọn).
– Pin dự phòng cho phép hiển thị và đọc chỉ số RF khi mất điện (tùy chọn).
– Hỗ trợ kết nối bên ngoài với hệ thống đo đếm từ xa (tùy chọn).
– Tích hợp các chức năng cảnh báo lỗi và ngăn ngừa 38 kiểu gian lận điện( tùy chọn)
– Tích hợp công nghệ RF-SPIDER, sẵn sàng cho việc thu thập dữ liệu công tơ tự động (tùy chọn).
Tích hợp sẵn công nghệ đọc chỉ số công tơ từ xa qua sóng vô tuyến (RF)
Tích hợp công nghệ RF-SPIDER (MESH), thực hiện thu thập dữ liệu công tơ hoàn toàn tự động. Số liệu ghi điện được cập nhật tự động vào Cơ sở dữ liệu khách hàng, loại bỏ được sai sót trong quá trình nhập liệu bằng tay, giúp cải thiện quy trình kinh doanh điện năng.
Ngoài ra, có thể sử dụng thiết bị cầm tay (Handheld Unit) để ghi chỉ số công tơ và in giấy báo tiền điện mà không cần phải trèo trụ hay vào nhà khách hàng, cải thiện khâu giao tiếp khách hàng.
Thông số kỹ thuật:
Đặc tuyến sai số của công tơ theo tải:
| Sai số (%) – Đường đặc tuyến kWh chiều giao Sai số (%) – Đường đặc tuyến kWh chiều nhận |
| Sai số (%) – Đường đặc tuyến kvarh chiều giao Sai số (%) – Đường đặc tuyến kvarh chiều nhận |
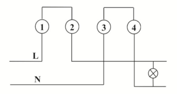
Sơ đồ đấu dây:
Kích thước lắp đặt:

English






Đánh giá
Chưa có đánh giá nào.